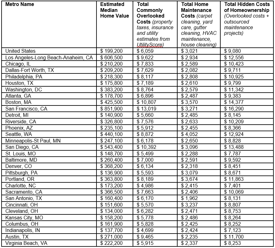
Homeowners spend an average $9,080 each year on common, yet often overlooked expenses associated with owning a home, including maintenance and utilities, according to a recent analysis by Zillow. The breakdown is as follows:
- Homeowners Insurance/Property Taxes/Utilities – $6,059
- Professional Home Maintenance – $3,021
(Note: Homeownership costs vary considerably by location—see chart below.)
“Determining how much a home will ultimately cost you each year and what you can afford is one of the most challenging aspects of home-buying, especially for first-time buyers,” says Dr. Svenja Gudell, chief economist at Zillow. “Before starting a home search, take a good look at your finances to determine a monthly payment range you can comfortably afford. While that big backyard or larger home may be appealing, it is important to consider how much maintaining those spaces could cost you.”
“While it may be tempting for homeowners to think they can cut costs by doing home maintenance projects themselves, hiring a trained professional to take them on can save them time, anxiety and most likely money in the long run,” says Lucas Puente, economist at Thumbtack, which also conducted the analysis. “Across the U.S., buyers should be prepared to spend at least a few thousand a year in home maintenance costs.”
For more information, please visit www.zillow.com.
For the latest real estate news and trends, bookmark RISMedia.com.








